Python: Визуализация данных
Теория: Визуализация статистических данных
Графическое представление статистических значений и распределений дает аналитику возможность извлекать значимые характеристики из больших объемов данных. В этом уроке мы рассмотрим основные графики и диаграммы, которые используются аналитиками в своей работе, а именно:
- Гистограммы распределений —
hist - Ящики с усами —
boxplot - Скрипичные графики —
violinplot - Круговые диаграммы —
pie
Импорт библиотек и подготовка данных
Для работы нам понадобятся модули sklearn.datasets для получения данных и matplotlib.pyplot для их визуализации:
В качестве данных возьмем тренировочный датасет с классификацией цветков ириса. Подробнее об этом можно прочитать в документации:
Код выше инициализирует две переменные. Переменная X отвечает за работу с характеристиками цветков. В ней обозначена длина и ширина лепестков и листочков в сантиметрах. В нашем случае есть четыре признака:
sepal length (cm)sepal width (cm)petal length (cm)petal width (cm)
Перейдем к переменной y, которая нужна для работы с классификацией цветков. У нее есть три значения (таргета), каждое число обозначает один из видов ириса:
0—setosa1—verticolor2—virginica
На датасете цветков ириса аналитики часто учатся работе с табличными данными. Далее мы проанализируем статистические характеристики признаков и количественные показатели таргетов с использованием визуализации.
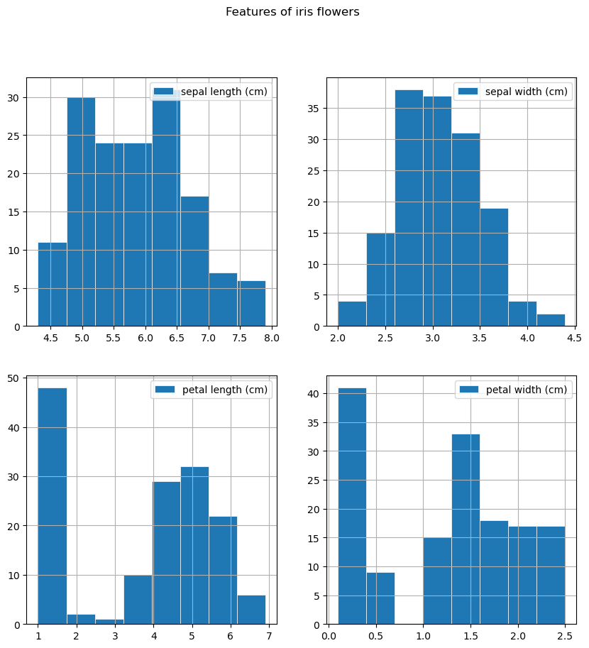
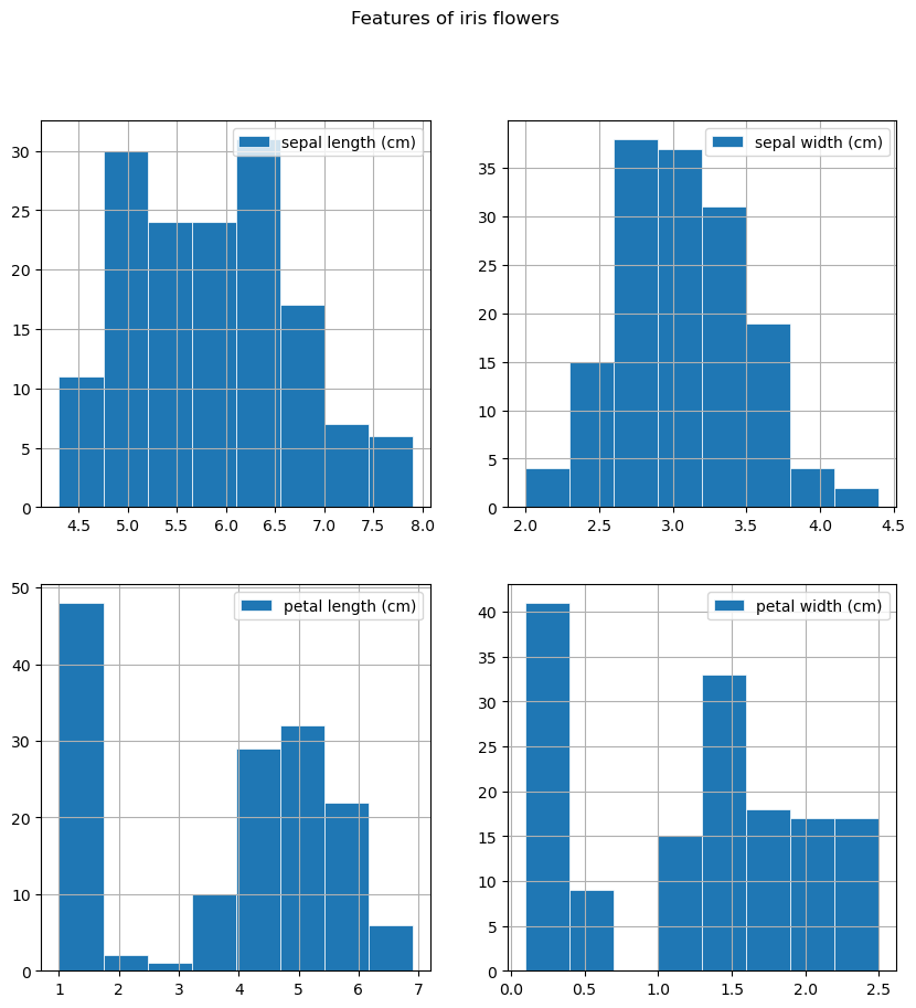
Гистограмма распределения
Один из частых подходов к визуализации — это графические представление распределения данных.
Для этого подходит гистограмма, которая реализуется с использованием метода hist(). Аналитик выбирает нужно количество интервалов и задает его через значение bins. Мы выбрали значение 8:

Для построения гистограммы все значения раскладываются по соответствующим числовым интервалам и подсчитывается их количество в каждом интервале. В нашем случае интервалов 8 — столько же столбцов на графике. Ширина столбца и его позиция по горизонтальной оси описывает интервал, а высота — количество значений, которые в него попали.
Код выше можно сократить, если использовать циклы. Положение каждого из признаков на соответствующей области визуализации определяется через выражения n // 2 и n % 2:

Гистограммы хорошо описывают то, какие наиболее типичные значения признаков встречаются в данных. В примере выше значения sepal width (cm) сосредоточены в районе 3.
Чтобы получить ту же информацию о квантилях и медианных значениях, построим еще один график.
Ящик с усами
Чтобы построить этот график, воспользуемся методом boxplot(). Первый необходимый параметр для него — это набор данных. В нашем случае мы используем ранее инициализированную переменную X, в которой хранятся значения признаков.
Остальные параметры отвечают за формат и расположение ящиков на области визуализации. Стоит помнить, что positions должно быть столько, сколько признаков. Мы указали четыре значения, поскольку у нас ровно четыре признака:

Это тип графиков читают так:
- Синий ящик — это область, в которую попадают большая часть всех значений
- Линия в ящике — значение, меньше которого столько же признаков, сколько и больше него (медиана)
- Усы — границы, в пределах которых лежат практически все признаки (вариативность признаков)
Не всегда удобно размещать признаки на одной области визуализации, потому что значения признаков могут сильно отличаться. В нашем примере этого не происходит — все значения расположены в интервале от 0 до 8. Для примера представим, что среди признаков есть зарплата работника и его возраст. В таком случае лучше выделить отдельную область под каждый признак.
Посмотрим, как сделать это с помощью циклов. При этом мы ограничиваемся каждый раз только одним признаком, вырезая его из данных вот так:
Так это выглядит на практике:

Посмотрим на графики выше. Какие-то признаки выходят за пределы усов — значит, в данных есть некоторые нехарактерные значения. Обычно аналитик находит эти значения и выясняет причину их появления — это либо редкий реальный случай, либо ошибка в данных. В нашем примере у признака sepal width (cm) наблюдаются такие значения.
Рассмотрим еще один график, который добавляет немного статистической информации о данных.
Скрипичная диаграмма
Чтобы построить этот график, заменим метод boxplot() на violinplot() в коде предыдущего примера:

Таким образом мы строим график распределения значений. Там где он толще, туда и попадает наибольшее количество значений. Иногда этот график рассматривают горизонтально. Для этого необходимо добавить параметр vert=False:

Мы разобрались с признаками, но оставили без внимания значения целевых переменных. Поработаем и с ними с помощью круговой диаграммы.
Круговая диаграмма
Для работы с целевыми переменными мы сперва посчитаем их количество. Воспользуемся методами библиотеки Numpy:
Теперь мы можем построить круговую диаграмму. Воспользуемся методом pie(). Возьмем количество наших таргетов y_counts[:, 1] в качестве данных для отрисовки.
Зададим параметр autopct лямбда-функцией, которая формирует подписи на секторах. Этот метод можно дополнительно параметризировать положением на области визуализации и размером. Не забудем также добавить легенду для наших секторов и отрисовать ее в отдельном окошке:

График выше показывает, сколько цветков ириса мы рассмотрели. В этом случае все классы имеют одинаковый размер по 50 штук. Размеры целевых классов существенно влияют на построение методов машинного обучения и подбор метрик качества обучаемых алгоритмов, поэтому к круговой диаграмме часто прибегают при первичном анализе данных.
Выводы
На этом уроке мы изучили методы статистического анализа данных с использованием визуализации:
- Гистограммы распределений —
hist - Ящики с усами —
boxplot - Скрипичные графики —
violinplot - Круговые диаграммы —
pie
На практических примерах разобрали, когда и как правильно применять рассмотренные методы. Это стандартный набор любого аналитика, с помощью которого можно производить первичный анализ данных, выявлять ошибки в них и даже формулировать гипотезы о их свойствах.
Рекомендуемые программы
Завершено
0 / 8

