PHP: Последовательности
Теория: Введение
Этот курс — логическое продолжение предыдущего курса про Составные данные. Теперь мы будем говорить о составных данных в чуть более сложном и продвинутом их виде. Как это часто бывает на Хекслете, данный курс будет не про PHP и не про изучение его возможностей, а про некоторые фундаментальные вещи, которые обязан знать программист, не зависимо от того, на каком языке он пишет код. PHP в данном случае всего лишь способ выражения той идеи, которую мы хотим донести.
Что такое последовательности

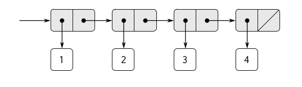
Последовательность — это упорядоченная совокупность объектов данных.
Давайте разберём это определение. Оно звучит немного страшновато, но в реальности всё очень просто. Под совокупностью подразумевается некая единая сущность, а под объектами данных подразумевается всё, что угодно. В нашем случае, в программировании, это могут быть: числа, строки, составные объекты (например, пары). В математике последовательности представлены очень широко. Этому посвящены целые её разделы, например, матанализ, который изучает различные числовые последовательности: натуральные числа или числа Фибоначчи, с которыми мы так или иначе имеем дело когда учимся программированию. В реальной жизни с ними никто не сталкивается, но их любят использовать при обучении.
- Натуральные числа
1, 2, 3, 4, 5, 6, 7, 8, ...
- Числа Фибоначчи
0, 1, 1, 2, 3, 5, 8, 13, 21, 34, ...
Списки
- список файлов
- список дел
- список сотрудников
- список сайтов
- список списков :)
В программировании гораздо чаще, чем с числовыми последовательностями, мы будем иметь дело со списками. Списки являются практически центральной частью в любой системе. Например, в функциональных языках манипуляции со списками являются ключевым моментом при написании кода.
Какие бывают списки? Если на компьютере вы открываете папку, то видите список файлов. У вас где-то записан список дел, более того, вы можете их вести в онлайновых системах. На предприятии есть список сотрудников. А если вы ищете в Яндекс, Google или другом поисковике, то видите список сайтов с пейджингом (переключатель, который позволяет вам ходить по страницам одного большого списка). И даже такой мета-список, который вы видите сейчас перед собой в данный момент — список списков. Это тоже список. Так что списки можно комбинировать, делать из них новые списки и это очень напоминает то, что мы делали в курсе Составные данные.
В этом курсе мы будем разрабатывать проект, который называется Генератор HTML. Это библиотека, генерирующая части HTML-кода. Если на текущий момент вы не знакомы с HTML, то не стоит переживать, потому что в будущих уроках мы будем обязательно разбирать, что это такое, как он работает, для чего нужен и что такое языки разметки вообще. Это крайне простая тема, на освоение которой не уйдет много времени.
Принцип работы
Принцип работы нашего проекта показан в примере ниже:
Сейчас не обязательно пытаться полностью понять данный код. Он иллюстрирует, что в конечном итоге получится библиотека, в которой есть обычные функции, позволяющие нам строить древовидную структуру. Которая с одной стороны список,а с другой может быть сложней, чем список. Например, она может быть деревом, о чём мы поговорим позже. В конечном итоге после того, как мы создали эту структуру, мы можем её распечатать и увидеть, что генерируется такое представление:
Этот кусочек и есть часть HTML-кода.
Применение
- программная (динамическая) генерация
- манипуляции
- анализ (например, проверка корректности)
- внутреннее представление в браузере
Зачем такие библиотеки вообще нужны?
-
Программная (динамическая) генерация HTML очень востребованная операция. Существует большое количество сайтов, которые используют, например, технологии Single Page Application, когда не происходит перезагрузки страницы, а всё меняется прямо на самом сайте. HTML в таком случае действительно генерируется динамически и в итоге представление перерисовывается непосредственно на клиенте.
-
Кроме этого такие библиотеки позволяют манипулировать текущим HTML, который уже загружен и используется. Собственно сайты это постоянно и делают, когда вы закрываете какое-то окно, что-то открываете или меняете на странице.
-
Помимо самого использования есть и анализ, например, валидация или проверка корректности. Верификация — когда проверяется правильно ли создана структура, так как HTML обладает определёнными правилами построения и их можно нарушить. То есть когда в браузере идёт работа с HTML, можно создать HTML, который будет невалиден — не пройдет верификацию. Библиотеки позволяют анализировать и давать рекомендации о том, как лучше делать, а как лучше не делать.
-
И самое интересное, что в реальности именно так внутри браузера и представлен HTML. Если мы загрузим какую-то страницу и посмотрим её исходный код, мы увидим, что там есть HTML как текст. Но текст — это всего лишь текстовое представление HTML, а в реальности он загружается в виде некоторой программной сущности. У неё есть специальное название — DOM. Модель построения элементов на веб-странице. Она хранится где-то внутри и ею можно манипулировать
Document Object Model
Код который вы видите выше написан на JavaScript. Здесь как раз показан пример того, как в браузере происходит манипуляция DOM, т.е. реальным представлением HTML, как он представлен в программном коде. Опять же, не нужно рассчитывать на то, что вы сейчас поймёте этот код. Важно, что та библиотека, которую мы разрабатываем, является по сути локальным представлением того, что происходит в браузере. Зная принципы её работы, умея самостоятельно её написать, вы будете легко ориентироваться в том, как это происходит в браузере. По сути мы делаем прототип настоящего DOM. Конечно, сложность очень сильно отличается, потому что DOM в браузере очень навороченная вещь. Наша библиотека гораздо проще, но главное это понять общий принцип.
Темы
- списки, множества, деревья
- отображение, фильтрация, агрегация
- стандартные интерфейсы
- уровневое проектирования
Какие темы мы рассмотрим в этом курсе?
Их много, и они достаточно серьёзные.
-
Первое — это структуры данных. Мы рассмотрим списки, познакомимся с понятием множеств и с деревьями.
-
Мы научимся с ними работать посредством тройки функций: отображение (
map), фильтрация (filter) и агрегация (reduce). Это тройка методов, которые используются для обработки различных списков, множеств, деревьев и других структур данных, которые существуют в PHP. Когда в будущем мы будем работать с внутренними структурами языка, вы увидите, что это основные способы манипуляции структурами в PHP и, кстати, во всех функциональных языках и даже не в функциональных. Во всех достаточно продвинутых языках программирования, которые поддерживают функции высшего порядка, реализована эта тройка. А код с использованием данных методов является чаще всего каноническим, т.е. так принято и правильно писать, а не использовать, например, циклы, о чём мы позже обязательно поговорим. -
Мы познакомимся с таким подходом, как стандартные интерфейсы. Ярким примером данного подхода является конструктор для детей Lego.
-
Также мы познакомимся с уровневым проектированием, которое касается не только программирования, а всей инженерной технической области. Именно оттуда оно берет начало и именно оттуда уровневому проектированию можно учиться.
Превосходство Хекслета
- функциональный стиль и неизменяемость
- СИКП
- фокус на программировании, а не синтаксисе языка
- двигаемся вперед не с помощью изучения новых фич языка, а путем комбинирования изученных инструментов и развития абстрактного мышления
- нет нового синтаксиса
Напоследок, несколько аспектов, почему курс сделан именно так. Почему и зачем мы освещаем эту тему на Хекслете.
Этот курс продолжает традицию предыдущего курса. Всё, что мы здесь делаем, будет неизменяемым. Мы используем функциональный стиль. Потому что введение состояния привносит множество сложностей и проблем, и на данном этапе для понимания темы это совершенно не нужно. Поэтому мы оставляем за скобками изменение. Библиотека может показаться вам немного странной, но чуть позже вы поймёте, почему она реализована именно так.
Помимо этого курс продолжает традицию и также основан на СИКПе (Структура и интерпретация компьютерных программ). В нём отсутствует новый синтаксис. Мы в очередной раз подчёркиваем, что этот курс не про изучение PHP, он про изучение программирования. Пройдя его, вы действительно поймёте и, наконец, осознаете разницу между тем, что такое программировать и что такое знать синтаксис языка.
Всё, что происходит в этом курсе — мы просто берём то, что уже изучили, начинаем это комбинировать и получаем какие-то новые возможности нашей системы, более сложное поведение. Данный подход развивает абстрактное мышление. Многие вещи, которые мы делаем в этом курсе, направлены не только на то, чтобы вы понимали, что такое программирование, но и постепенно начинали развивать свой мозг и тренировать его для того, чтобы он мог переваривать всё более и более сложные сущности и концепции, потому что изучение нового синтаксиса не привносит нового развития в части того, как вы размышляете. Оно не позволит вам автоматически строить действительно сложные программы. А вот абстрактное мышление — это как раз та вещь, которая влияет на это больше всего. Некоторые уроки и практические задания могут показаться весьма сложными, потому что в этом курсе будет много кода и он будет заставлять ваш мозг кипеть. В каком-то смысле это лакмусовая бумажка. Если вы пройдёте курс, действительно в нём разберётесь и поймёте его, то скорее всего дальнейшее обучение пройдет для вас достаточно легко и, в целом, в программировании у вас всё будет хорошо получаться.
Желаю удачи! Вперёд!
Рекомендуемые программы
Завершено
0 / 9
