JS: Асинхронное программирование
Теория: new Promise
Если в проекте появились промисы, то, по-хорошему, весь код должен работать только через них. К сожалению, далеко не все библиотеки имеют интерфейс с промисами и работают по старинке, на колбеках. В таких случаях функции нужно "обернуть" или, как говорят, "промисифицировать". Создание промиса происходит с помощью конструктора Promise:
Промис ожидает на вход функцию, которая будет вызвана в момент его создания. Именно внутри этой функции и нужно выполнять асинхронную операцию (на колбеках), которую мы хотим превратить в промис. Промис прокидывает в эту функцию два колбека:
resolve— должна быть вызвана в случае успешного завершения асинхронной операции. Ей на вход отдаётся результат этой операции.reject— должна быть вызвана в случае ошибки. На вход, соответственно, отдаётся ошибка.
Эти функции принимают на вход ровно один аргумент, который затем передаётся либо в then (как данные), либо в catch (как ошибка). Причём достаточно, чтобы вызывалась хотя бы одна из этих функций. Вполне возможно, что понадобится создать промис, который всегда завершается успешно — и это легко сделать, никогда не вызывая reject.
В конечном итоге конструкция new Promise() возвращает самый настоящий промис, с которым можно работать уже привычным для нас способом:
А что, если нужно обернуть две асинхронных операции или три, или даже больше? Придётся оборачивать каждую из них независимо. Другими словами, одна асинхронная операция — один конструктор new Promise. Кстати, эту задачу можно автоматизировать, и в ноду встроена специальная функция, которая делает промисы из асинхронных функций:
Во фронтенде такое тоже возможно, достаточно "загуглить" пакет, предоставляющий функцию promisify.
В реальной жизни встречаются задачи, когда асинхронного кода нет, но нужен промис, чтобы построить цепочку. Такой промис можно создать самостоятельно:
То же самое для промиса, который завершается неуспешно:
Для этих задач добавили специальные сокращения, с которыми код становится чище:
Устройство

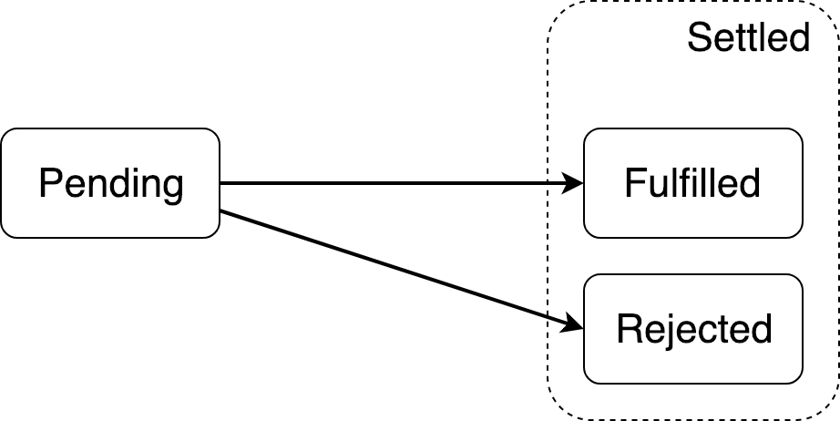
С технической точки зрения, промис — это объект, имеющий три состояния (см. конечные автоматы и автоматное программирование): pending, fulfilled и rejected. Промис начинается в состоянии pending, а затем, с помощью функций ("событий", как говорят в теории автоматов) resolve и reject переводится в одно из конечных (терминальных) состояний fulfilled или rejected. Перейдя однажды в эти состояния, промис уже не может откатиться назад или уйти в другое терминальное состояние. То есть после вызова resolve, нет способа привести промис в состояние rejected, вызывая функцию reject.
Рекомендуемые программы
Завершено
0 / 15




